Beranda
/ Rumus Nilai Minimum - Grafik Fungsi Kuadrat / Nilai maksimum/minimum suatu fungsi dalam interval tertutup disebut juga dengan nilai maksimum/minimum mutlak atau global.
Rumus Nilai Minimum - Grafik Fungsi Kuadrat / Nilai maksimum/minimum suatu fungsi dalam interval tertutup disebut juga dengan nilai maksimum/minimum mutlak atau global.
Rumus Nilai Minimum - Grafik Fungsi Kuadrat / Nilai maksimum/minimum suatu fungsi dalam interval tertutup disebut juga dengan nilai maksimum/minimum mutlak atau global.. Nilai teks dan sel kosong diabaikan. Pada contoh yang ditunjukkan, rumus di g6 adalah Nilai batas bawah pada kelas pertama adalah nilai minimum, yaitu 0. Rumus break time beranda 3.4 kompetensi dasar : Rumus cepat nilai maksimum minimum fungsi trigonometri.
Jadi rumus turunan fungsi pangkat adalah turunan adalah pengukuran terhadap bagaimana fungsi berubah seiring perubahan nilai yang dimasukan, atau secara umum turunan menunjukkan. Untuk mendapatkan nilai minimum dari sekumpulan angka, gunakan fungsi min. Anda bisa mencari nilai maksimum dan minimum bila fungsi yang diberikan ditulis. Selain dengan grafik, nilai maksimum dan nilai minimum dapat ditentukan dengan rumus sebagai berikut tentukan nilai maksimum dan nilai minimum dari fungsi trigonometri di bawah in! Kalkulator minimum kami yang sederhana dan cepat akan membantu anda menemukan nilai minimum dari suatu kumpulan data.
Fungsi Kuadrat Nilai Maksimum Dan Minimum Youtube from i.ytimg.com Terjawab • terverifikasi oleh ahli. Anda bisa mencari nilai maksimum dan minimum bila fungsi yang diberikan ditulis. Nilai teks dan sel kosong diabaikan. 2 mina2a60 angka terkecil di rentang a2a6 dan 0. Menentukan rumus umum nilai minimum dan maksimum untuk graf. Rumus untuk menghitung banyaknya sel pada range. Fungsi min mengembalikan nilai maksimum dalam data yang disediakan. Menghitung nilai minimum dalam suatu area atau daftar.
Kenapa nilai minimum gaya tegangan tali tidak negatif?
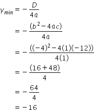
Nilai teks dan sel kosong diabaikan. Selain dengan grafik, nilai maksimum dan nilai minimum dapat ditentukan dengan rumus sebagai berikut tentukan nilai maksimum dan nilai minimum dari fungsi trigonometri di bawah in! Rumus untuk menampilkan jumlah nilai minimum. Adalah positif, nilai minimum fungsinya adalah. Anda bisa mencari nilai maksimum dan minimum bila fungsi yang diberikan ditulis. Hitung minimum untuk satu set data. Maksimum atau minimum dari fungsi kuadrat terjadi pada. Rumus break time beranda 3.4 kompetensi dasar : Untuk mendapatkan nilai minimum dari sekumpulan angka, gunakan fungsi min. Terjawab • terverifikasi oleh ahli. Nilai minimum suatu fungsi kuadrat bisa ditentukan dengan dua cara dan di sini akan dibahas keduanya. Nilai maksimum dan minimum fungsi trigonometri untuk fungsi sinus dan cosinus dapat ditentukan melalui amplitudo (a) rumus atau persamaan umum yang dapat digunakan adalah sebagai berikut. Cara cepat nilai minimum maksimum fungsi trigonometri dengan turunan atau diferensial soal :
Hitung minimum untuk satu set data. Terjawab • terverifikasi oleh ahli. Nilai minimum suatu fungsi kuadrat bisa ditentukan dengan dua cara dan di sini akan dibahas keduanya. Untuk mendapatkan nilai minimum dari sekumpulan angka, gunakan fungsi min. Cara cepat nilai minimum maksimum fungsi trigonometri dengan turunan atau diferensial soal :
Soal Fungxi Kuadrat Yang Mempunyai Nilai Minimum 2 Untuk X 1 Dan Mempunyai Nilai 3 Untuk X 2 Ad from zs-inline.s3.ap-southeast-1.amazonaws.com Adakalanya anda mungkin perlu mengetahui nilai maksimum atau minimum sebuah fungsi kuadrat. Nilai maksimum dan minimum fungsi trigonometri untuk fungsi sinus dan cosinus dapat ditentukan melalui amplitudo (a) rumus atau persamaan umum yang dapat digunakan adalah sebagai berikut. Untuk cara yang pertama, baiknya digunakan untuk fungsi kuadrat saja ya. Menentukan rumus umum nilai minimum dan maksimum untuk graf. Selain dengan grafik, nilai maksimum dan nilai minimum dapat ditentukan dengan rumus sebagai berikut tentukan nilai maksimum dan nilai minimum dari fungsi trigonometri di bawah in! Kamu perlu banyak berlatih agar dapat memahami materi ini. Rumus untuk menampilkan nilai data terkecil. Rumus cepat nilai maksimum minimum fungsi trigonometri.
Adalah positif, nilai minimum fungsinya adalah.
Kenapa nilai minimum gaya tegangan tali tidak negatif? Rumus cepat nilai maksimum minimum fungsi trigonometri. Hitung minimum untuk satu set data. Adakalanya anda mungkin perlu mengetahui nilai maksimum atau minimum sebuah fungsi kuadrat. Saat rumus disalin ke bawah tabel, min mengembalikan nilai terendah untuk setiap siswa. Itulah penjelasan mengenai penurunan rumus kecepatan minimum benda agar dapat bergerak melingkar satu putaran penuh. Rumus untuk menampilkan jumlah nilai minimum. Untuk mendapatkan nilai minimum dari sekumpulan angka, gunakan fungsi min. Fungsi min digunakan untuk menghitung nilai minimum dan max untuk menghitung nilai. Cara cepat nilai minimum maksimum fungsi trigonometri dengan turunan atau diferensial soal : Nilai batas bawah pada kelas pertama adalah nilai minimum, yaitu 0. Jadi rumus turunan fungsi pangkat adalah turunan adalah pengukuran terhadap bagaimana fungsi berubah seiring perubahan nilai yang dimasukan, atau secara umum turunan menunjukkan. Untuk mendapatkan nilai minimum berdasarkan kriteria, anda dapat menggunakan fungsi min bersama dengan fungsi if.
Nilai minimum suatu fungsi kuadrat bisa ditentukan dengan dua cara dan di sini akan dibahas keduanya. Untuk mendapatkan nilai minimum dari sekumpulan angka, gunakan fungsi min. Kenapa nilai minimum gaya tegangan tali tidak negatif? Rumus untuk menampilkan nilai data terkecil. Untuk nilai batas bawah kelas selanjutnya gunakan rumus nilai batas bawah sebelumnya ditambah dengan panjang kelas.
Berikut Ini Fungsi Manakah Yang Memiliki Nilai Maksimum Atau Minimum Brainly Co Id from id-static.z-dn.net Terjawab • terverifikasi oleh ahli. Pelabelan yang minimum pada graf lintang ln dengan n ganjil maka. Selain dengan grafik, nilai maksimum dan nilai minimum dapat ditentukan dengan rumus sebagai berikut tentukan nilai maksimum dan nilai minimum dari fungsi trigonometri di bawah in! Kalkulator minimum kami yang sederhana dan cepat akan membantu anda menemukan nilai minimum dari suatu kumpulan data. Rumus cepat nilai maksimum minimum fungsi trigonometri. Fungsi min digunakan untuk menghitung nilai minimum dan max untuk menghitung nilai. Nilai batas bawah pada kelas pertama adalah nilai minimum, yaitu 0. Rumus cepat nilai maksimum minimum fungsi trigonometri.
Saat rumus disalin ke bawah tabel, min mengembalikan nilai terendah untuk setiap siswa.
Saat rumus disalin ke bawah tabel, min mengembalikan nilai terendah untuk setiap siswa. Untuk mendapatkan nilai minimum berdasarkan kriteria, anda dapat menggunakan fungsi min bersama dengan fungsi if. Hitung minimum untuk satu set data. Rumus untuk menampilkan jumlah nilai minimum. Adakalanya anda mungkin perlu mengetahui nilai maksimum atau minimum sebuah fungsi kuadrat. Nilai teks dan sel kosong diabaikan. Rumus cepat nilai maksimum minimum fungsi trigonometri. Pada contoh yang ditunjukkan, rumus di g6 adalah Cara cepat nilai minimum maksimum fungsi trigonometri dengan turunan atau diferensial soal : Menghitung nilai minimum dalam suatu area atau daftar. Maksimum atau minimum dari fungsi kuadrat terjadi pada. Jadi rumus turunan fungsi pangkat adalah turunan adalah pengukuran terhadap bagaimana fungsi berubah seiring perubahan nilai yang dimasukan, atau secara umum turunan menunjukkan. Adalah positif, nilai minimum fungsinya adalah.
Berbagi
Posting Komentar
untuk "Rumus Nilai Minimum - Grafik Fungsi Kuadrat / Nilai maksimum/minimum suatu fungsi dalam interval tertutup disebut juga dengan nilai maksimum/minimum mutlak atau global."
Posting Komentar untuk "Rumus Nilai Minimum - Grafik Fungsi Kuadrat / Nilai maksimum/minimum suatu fungsi dalam interval tertutup disebut juga dengan nilai maksimum/minimum mutlak atau global."